Arriva la Tre Valli, occhio a chiusure e restrizioni.
Lo spettacolo della rinomata manifestazione da anni non si concentra più nel solo giorno della corsa professionistica: con la Granfondo, la sua cronometro, la Gravel Experience e la gara femminile in questo 2022 saranno tre i giorni in cui si gareggerà e quindi altrettanti i giorni di modifiche alla circolazione stradale.
Ieri la Polizia Locale di Varese ha reso note le ordinanze relative: ecco le linee guida per le giornate dell'1, 2 e 4 ottobre. Per il dettaglio vi rimandiamo alle foto allegate, con le quali pubblichiamo il testo integrale delle ordinanze.
PROVVEDIMENTI GENERALI
Dall'1 al 4 ottobre piazza Ragazzi del '99 resterà chiusa al traffico e sarà disposto il divieto di sosta per tutta la sua estensione.
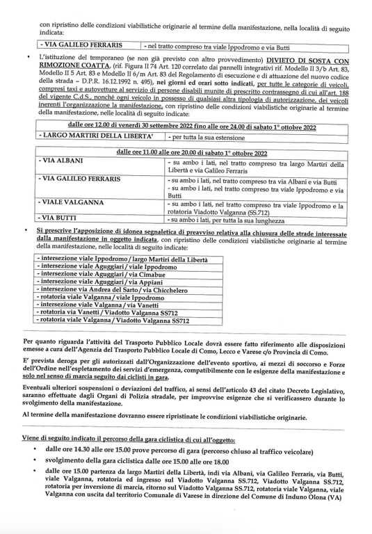
SABATO 1 OTTOBRE
Sarà il giorno della Granfondo cronometro: 22 km di percorso con partenza alle 15 dall'Ippodromo Le Bettole (largo Martiri della libertà).
Il tracciato interesserà esclusivamente la zona intorno a viale Valganna: divieti di transito, direzioni obbligatorie, divieti di sosta e doppio senso di circolazione riguarderanno quindi solo questo comparto.
Largo Martiri della libertà resterà chiuso a partire dalle 13 di venerdì 30 settembre. Le chiusure principali riguarderanno - dalle 12 alle 20 di sabato - via Albani, via Butti, via Appiani, via Ferraris e viale Valganna. Vedi foto per i dettagli.
DOMENICA 2 OTTOBRE
Sarà il giorno della Granfondo Tre Valli: due percorsi, uno lungo (126 km) e uno medio (99 km), con partenza alle ore 9 in via Sacco e arrivo sempre in via Sacco (la chiusura è prevista intorno alle 15.30).
Il tracciato interesserà il centro città, viale Valganna/Ippodromo e poi, nella sua conclusione, la SP1 da Calcinate del Pesce alla Schiranna, Valle Luna, Masnago e ancora il centro.
Via Sacco resterà chiusa dalle 00 alle 15.30. Diverse vie del centro, compresa piazza Monte Grappa, resteranno chiuse dalle 3 alle 15.30, altre dalle 8.30 alle 15.30, altre ancora dalle 11.30 alle 15.30, altre - infine - solo in corrispondenza dei passaggi dei ciclisti. Vedi foto per tutti i dettagli.
Nelle stesse zone sarà in vigore per tutta la giornata di domenica il divieto di sosta. Vedi foto per tutti i dettagli.
MARTEDì 4 OTTOBRE
Ecco il giorno della Tre Valli Varesine e della Tre Valli Varesine Women.
Sarà il giorno più complicato per la viabilità cittadina. La gara femminile partirà alle 9.30 da Busto Arsizio, entrerà nel territorio varesino intorno alle 10.20 e si concluderà in via Sacco intorno alle 12, dopo aver compiuto un percorso di 88,9 km totali tra cui un circuito tutto interno al Comune di Varese di 11,6 km da ripetere 4 volte.
La gara maschile partirà da Busto Arsizio alle 12, entrerà nel Comune di Varese intorno alle 12.50 e si concluderà in via Sacco tra le 16.30 e le 17.10, dopo aver compiuto un percorso di 196,3 km tra cui un circuito tutto interno al Comune di Varese c.d. breve di 12 km (da ripetere 8 volte) e un circuito tutto interno ai Comuni di Varese e Casciago c.d. lungo di 25 km da ripetere 2 volte.
La gara - e le relative interdizioni (divieto di transito, sosta etc) interesserà i seguenti quartieri del centro, di Bobbiate, di Casbeno, di Masnago, di Calcinate del Pesce, Valle Luna e Schiranna.
In foto i dettagli dell'ordinanza.





























